Hét vraag- en antwoordplatform van Nederland

Waarom kunnen er alleen structuurformules worden gevormd van moleculaire stoffen?

ik heb morgen een SE ( schoolexamen ) maar vraag me toch af waarom als je kijkt naar die structuurformules zijn het alleen maar moleculaire stoffen (niet-metalen) , hoe zit dat dan met zouten? krijgen die een soort van rooster?(ionen-rooster) ik denk echt dat we zo'n vraag krijgen. Iemand nog tips waar ik om moet letten de hoofdstukken gaan over: Atoombouw en periodiek systeem & en dus moleculaire stoffen.

ps. er word in het boek uitgelegd wat polaire atoombindingen zijn maar niet wat a-polaire atoombindingen zijn iemand een idee?(graag in begrijpelijke taal)

Verwijderde gebruiker
14 jaar geleden

Heb je meer informatie nodig om de vraag te beantwoorden? Reageer dan hier.

Geef jouw antwoord

Het is niet mogelijk om je eigen vraag te beantwoorden Je mag slechts 1 keer antwoord geven op een vraag Je hebt vandaag al antwoorden gegeven. Morgen mag je opnieuw maximaal antwoorden geven.

/
Geef Antwoord
+
Selected image

Antwoorden (3)

Structuurformules worden meestal gebruikt om complexere verbindingen weer te geven.

EEN molecuul formule kan nl (vaak) meerdere structuurformules hebben (en het gaat dan dus om verschillende stoffen) door de structuurformule kun je zien wat het is.

Een hele simpele: (met 1 c in het midden) dus:
CH3-CH2-CH2-CH3
of
CH3-CH-CH3
/
CH3

Excuses dat het er zo raar staat
Metalen worden meestal metaalzouten en die zijn zo simpel dat de structuurformule voor zich spreekt

Het verschil tussen polair en apolair is een hele andere vraag, zie hiervoor ook wikilink
Ze zijn elkaars tegenovergestelde en grofweg kun je 2 polaire vloeistoffen met elkaar mengen en 2 apolaire vloeistoffen met elkaar mengen maar polair met apolair geeft een zg tweefasen systeem, dat ontmengt.

Vet en water is daar een huis tuin en keuken voorbeeld van en water en benzine ook

Toegevoegd na 4 minuten:
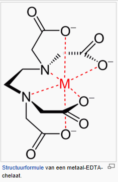
Ik hoop dat ik je hiermee niet weer helemaal in verwarring breng maar er ZIJN voorbeelden van metaalionen in structuurformules maar dit zijn wel bijzondere verbindingen, zie het plaatje, dat heet chelatie en daarmee zit een metaalion in een organisch systeem met hele sterke electronegatieve "armen" waardoor slecht oplosbare metalen opeens wel in oplossing kunnen gaan
(Lees meer...)
avatar image
amigo
14 jaar geleden
Verwijderde gebruiker
14 jaar geleden
Dankjewel, ik vind dat structuurformule niet zo duidelijk maar dat van apolair en polair wel dat is in principe een vb van hydrofoob en hydrofiel ; polair is dat hydrofiel en apolair hydrofoob en zonder een emulgator zullen ze ontmengen.
amigo
14 jaar geleden
helemaal juist!
Apolaire bindingen worden ook wel covalente bindingen genoemd .
Daarnaast heb je elektrovalente bindingen.
Zouten zitten inderdaad in een kristalstructuur.
Metalen hebben echter een ionenrooster waar de vrije elektronen elektrische geleiding mogelijk maken.
Bij zouten kan dit alleen als ze in ionen gesplitst zijn , dus oplosbare zouten in water.
Als zout zelf is er wel sprake van elektrovalente binding maar droog zout is geen (goede) geleider van stroom.

Toegevoegd na 9 minuten:
Stuctuurformules zijn zinvol waar de vorm van de stof met alleen de brutoformule niet duidelijk is.
Met de IUPAC benaming wordt echter de structuur omschreven en dan is er geen structuurtekening nodig.
(Lees meer...)
Verwijderde gebruiker
14 jaar geleden
Elk atoom heeft een soort trekkracht. Dat is de kracht waarmee hij elektronen naar zich toe kan trekken.
Chloor bijvoorbeeld, heeft een relatief hoge trekkracht. Chloor zal de elektronen dicht naar zich toe trekken.

Denk aan zoutzuur: HCl. Cl heeft een veel grotere trekkracht dan H. Als ze gaan binden gaan 1 elektron van Cl en 1 elektron van H samen een binding vormen. Normaal zou je denken dat dat precies tussen de twee atomen in is.
nope
Cl heeft een grotere trekkracht dan H, dus zullen de elektronen dichter bij Cl gaan zitten dan bij H.
Dan heeft Cl dus eigenlijk een elektron teveel, en waterstof een te weinig, dus is er een lading ontstaan. Dan spreek je van een polaire binding.
Is het zo duidelijk?? iig Succes morgen!

Toegevoegd na 10 minuten:
ik was vergeten te vertellen wat apolair dan is.

Dat is niet moeilijk. Als de elektronen echt midden tussen de atomen zitten, dan is er geen verschil in lading en is de binding apolair.

Omdat gelijke atomen gelijke trekkracht hebben, zijn alle moleculen die bestaan uit 1 soort atomen (F-F, Cl-Cl, H-H, O=O) apolair.

let goed op de cijfers in moleculen. H2O is wat anders dan HO etc. Moet je ook naamgeving doen?
zorg dan dat je het rijtje voorzetsels goed kent (mono, di, tri, tetra, penta, hexa, hepta, octa, nona en deca)
(Lees meer...)
Verwijderde gebruiker
14 jaar geleden
Deel jouw antwoord

Het is niet mogelijk om je eigen vraag te beantwoorden Je mag slechts 1 keer antwoord geven op een vraag Je hebt vandaag al antwoorden gegeven. Morgen mag je opnieuw maximaal antwoorden geven.

/
Geef Antwoord
+
Selected image
logo van Kompas Publishing

GoeieVraag.nl is onderdeel van Kompas Publishing