Hét vraag- en antwoordplatform van Nederland

Kan deze stof een polyester vormen met meerdere monemeren van zichzelf?

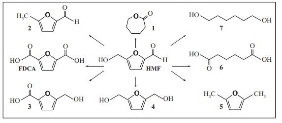
In het Scheikunde VWO examen 2018 zat de vraag om een stof uit het schema aan te wijzen die een polyester met zichzelf vormt. Kan stof 6 dit?
Edit: Nee, dit is niet mogelijk, want een esterbinding is tussen een carbonzuur en een alchohol en dit zijn twee zuren.

Picture for question
avatar image
Verwijderde gebruiker
7 jaar geleden

Heb je meer informatie nodig om de vraag te beantwoorden? Reageer dan hier.

Geef jouw antwoord

Het is niet mogelijk om je eigen vraag te beantwoorden Je mag slechts 1 keer antwoord geven op een vraag Je hebt vandaag al antwoorden gegeven. Morgen mag je opnieuw maximaal antwoorden geven.

/
Geef Antwoord
+
Selected image

Antwoorden (1)

Ja, dat kan. Er zijn twee OH-groepen aanwezig die met elkaar kunnen reageren als er pylomerisatie plaatsvindt, waarbij water afsplitst.
(Lees meer...)
Verwijderde gebruiker
7 jaar geleden
avatar image
Verwijderde gebruiker
7 jaar geleden
(Nee, dit is niet mogelijk, want een esterbinding is tussen een carbonzuur en een alchohol en dit zijn twee zuren.) Kwam ik net achter. Alsnog bedankt.
Verwijderde gebruiker
7 jaar geleden
Ooh wacht, polyester, mijn fout.
Deel jouw antwoord

Het is niet mogelijk om je eigen vraag te beantwoorden Je mag slechts 1 keer antwoord geven op een vraag Je hebt vandaag al antwoorden gegeven. Morgen mag je opnieuw maximaal antwoorden geven.

/
Geef Antwoord
+
Selected image
logo van Kompas Publishing

GoeieVraag.nl is onderdeel van Kompas Publishing