Hét vraag- en antwoordplatform van Nederland

Het wortelteken, een streep BOVEN de karakters. Booleaanse algebra, de NIET-functie een streepje boven het karakter HOE maak je in WORD dat streepje?

Dus niet de bovenstaande regel het gedeelte onderstrepen, want als er tekst wordt gewijzigd is de 'bovenliggende' streep niet aan de onder liggende karakters gekoppeld, maar aan de karakters boven de streep.
het gaat hier om een streep(je) dat is gekoppeld aan het karakter onder onder de streep, de wortel of de niet-functie.

Toegevoegd na 2 uur:
cryofiel heeft het juiste antwoord gegeven, alleen ik heb word 2000 en daar werkt het zijn oplossing niet.
het plaatje is inderdaad precies wat ik bedoel.

hoe moet het in word 2000?

Verwijderde gebruiker
15 jaar geleden
in: Wiskunde
Cryofiel
15 jaar geleden
Naar aanleiding van je toevoeging: waar loopt het spaak in Word 2000? Zie je het Pi-symbool niet? Heb je niet ergens anders een knop waarmee je een vergelijking kunt invoegen? Kun je anders proberen een "object" in te voegen, en dan bij de lijst objecten kiezen voor iets dat "vergelijking" of "equation" heet? Als dat allemaal niet lukt, kun je proberen in de Help van Word naar Vergelijking (of naar Equation) te zoeken. Dan vind je vast wel hoe je dan wél een vergelijking kunt invoegen in je document.

Heb je meer informatie nodig om de vraag te beantwoorden? Reageer dan hier.

Geef jouw antwoord

Het is niet mogelijk om je eigen vraag te beantwoorden Je mag slechts 1 keer antwoord geven op een vraag Je hebt vandaag al antwoorden gegeven. Morgen mag je opnieuw maximaal antwoorden geven.

/
Geef Antwoord
+
Selected image

Het beste antwoord

In Word 2007 klik je in het Lint op Invoegen. Daarna klik je rechts op het grote Pi-symbool om een vergelijking in te voegen.

Je komt dan in de vergelijkings-editor. Daarin kun je alle worteltekens en niet-strepen maken die je maar wilt.

Voor het wortelteken: klik in het lint op het wortelteken.

Voor de niet-streep boven een letter: type de letter, selecteer dan die letter, en klik in het lint op Accent; kies vervolgens voor een streep boven het karakter.

Toegevoegd na 1 minuut:
 
Als je je vergelijking in je tekst wilt krijgen in plaats van "losstaand", klik je op het pijltje rechts van de vergelijking. Daarna kies je voor Inline (of In tekst, ik weet niet hoe het in de Nederlandse versie van Word heet; het is de op één na laatste optie in het menuutje dat verschijnt).

Toegevoegd na 1 minuut:
 
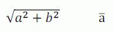
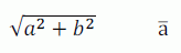
In het plaatje een wortelteken en een niet-streepje die ik op deze manier in Word heb gemaakt.

Toegevoegd na 1 uur:
 
Zo te lezen in je toevoeging lukt het je niet, een Vergelijking in je document op te nemen.

Kijk eens in de help van Word. Als je daar zoekt op Vergelijking of op Equation, vind je vast snel uit hoe je dan wél een vergelijking in je tekst kunt opnemen.
(Lees meer...)
Plaatje bij antwoord
avatar image
Cryofiel
15 jaar geleden
Verwijderde gebruiker
15 jaar geleden
hoi
het is gelukt, hartelijk dank!
prettige kerstdagen
Deel jouw antwoord

Het is niet mogelijk om je eigen vraag te beantwoorden Je mag slechts 1 keer antwoord geven op een vraag Je hebt vandaag al antwoorden gegeven. Morgen mag je opnieuw maximaal antwoorden geven.

/
Geef Antwoord
+
Selected image
logo van Kompas Publishing

GoeieVraag.nl is onderdeel van Kompas Publishing