Hét vraag- en antwoordplatform van Nederland

Wat is het verschil als het voor de Sigma staat en na de Sigma, zie extra uitleg!

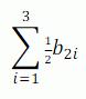
Stel je voor je hebt een Sigma teken, met erboven een 3, en eronder i=1. Rechts van de sigma staat (1/2)b2i met 2i in het klein. Mijn vraag is dus of er een verschil is met wanneer de 1/2 voor de sigma teken staat. En zo nee, kan het dan wel anders zijn in een andere voorbeeld.

Verwijderde gebruiker
15 jaar geleden
in: Wiskunde

Heb je meer informatie nodig om de vraag te beantwoorden? Reageer dan hier.

Geef jouw antwoord

Het is niet mogelijk om je eigen vraag te beantwoorden Je mag slechts 1 keer antwoord geven op een vraag Je hebt vandaag al antwoorden gegeven. Morgen mag je opnieuw maximaal antwoorden geven.

/
Geef Antwoord
+
Selected image

Het beste antwoord

Je bedoelt de formule van onderstaand plaatje, als ik je goed begrijp.

Hier staat: neem de helft van b2, de helft van b4 en de helft van b6, en tel die bij elkaar op.

Als je de 1/2 voor het somteken zet, staat er: neem b2, b4 en b6, en tel die bij elkaar op. Neem de helft van het resultaat.

De uitkomst is precies hetzelfde. De factor 1/2 kun je dus zonder problemen vóór het sigma-teken zetten.
(Lees meer...)
Plaatje bij antwoord
avatar image
Cryofiel
15 jaar geleden
Verwijderde gebruiker
15 jaar geleden
Dank je voor de antwoord, maar hoe heb je die formule zo gekregen?
Deel jouw antwoord

Het is niet mogelijk om je eigen vraag te beantwoorden Je mag slechts 1 keer antwoord geven op een vraag Je hebt vandaag al antwoorden gegeven. Morgen mag je opnieuw maximaal antwoorden geven.

/
Geef Antwoord
+
Selected image
logo van Kompas Publishing

GoeieVraag.nl is onderdeel van Kompas Publishing